Gerador Cummins é quase o mais popular grupo gerador amplamente utilizado em todos os tipos da indústria da central eléctrica No mundo todo. A rede de serviço global do motor diesel Cummins pode fornecer aos clientes um serviço confiável e garantido. A faixa de potência de Grupo gerador Cummins é de 24kw até 1800kw .
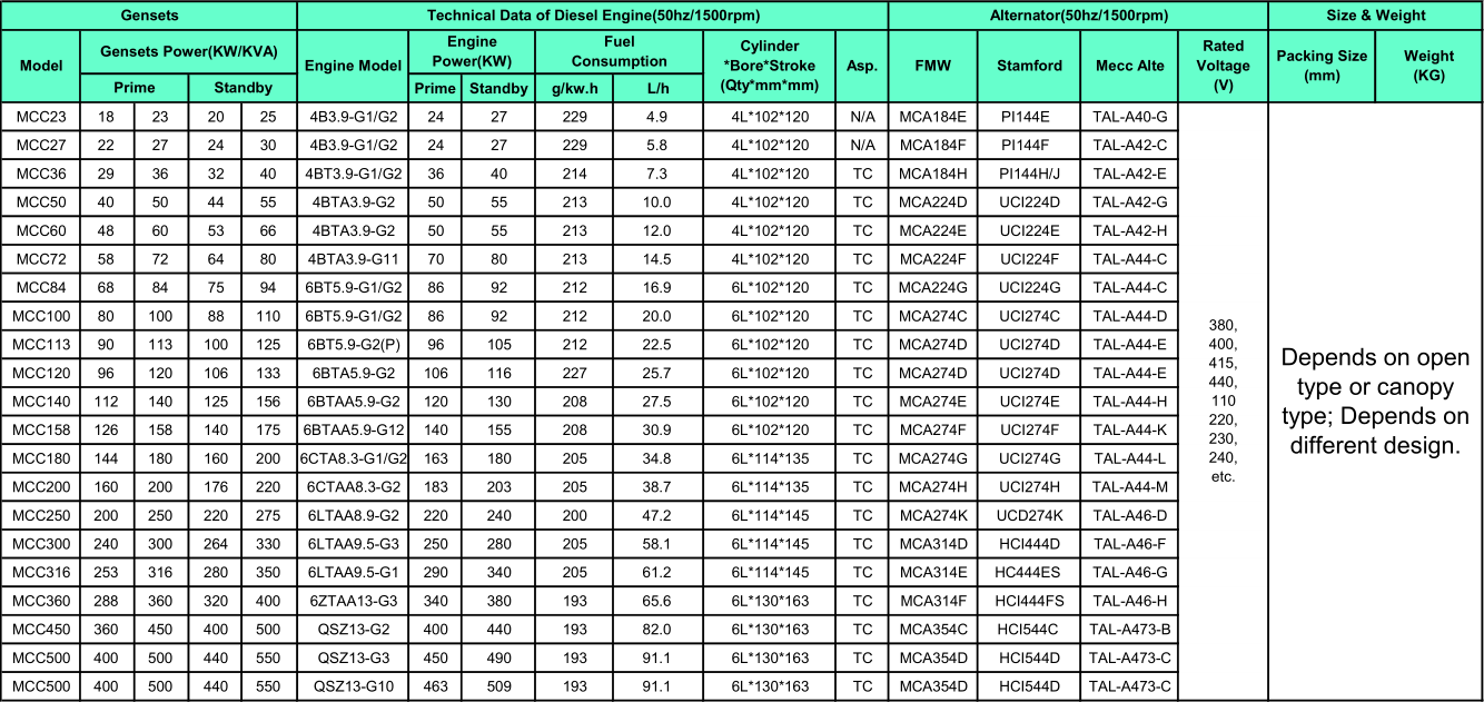
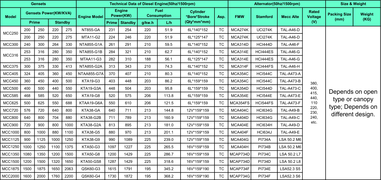
1. Cummins Engine Generator Main Specification
Gerador Dongfeng Cummins

Chongqing Cummins Generator

2. Gerador Cummins Se t
3. Recursos do Gerador e Escopo de Fornecimento
|
Peças padrão
|
Peças opcionais
|
|
O novo motor diesel da série Ricardo, Lijia e Styer
|
Original Stamford, Leroy Somer e Mecc Alte alternador
|
|
Alternador MCA Brushless novinho em folha (Classe H, IP23, AVR)
|
Sistema de controle do gerador do Automatic Transfer Switch (A.T.S)
|
|
Quadro de base de aço resistente com 8 horas de tanque de combustível
|
Sistema de controle do gerador de paralelismo
|
|
Dossel à prova de som de aço de 2MM-4MM para o gerador silencioso
|
Tanque de combustível personalizado com mais de 8 horas corrida
|
|
Radiador de segurança com rede de proteção
|
Serviço pesado 50 ℃ radiador de latão
|
|
Amortecedor anti-vibração de borracha resistente
|
Deepsea7320, Smartgen6110 ou ComAp AMF25 controlador de gerador
|
|
Silenciador de tipo industrial para serviços pesados com boca flexível
|
Aquecedor de água / aquecedor de óleo lubrificante para clima extremamente frio
|
|
Bateria de não manutenção padrão de alto desempenho
|
Eletrônicos como ABB, Schneider e Siemens
|
|
Controlador do gerador Deepsea6020, Smartgen420 ou ComAp MRS11
|
Dossel super silencioso Cumtomized com esponja de alta densidade
|
|
Pressão baixa do óleo, superaquecimento, sobrecarga e proteções contra excesso de velocidade
|
Parte especial como chaves de aço inoxidável, bomba de drenagem de óleo, filtro de poeira etc
|
|
Eletrônicos padrão do estado, como cabo, disjuntor, relé, lâmpada, fusível, parada dispositivo.
|
Extra motor e alternador peças como filtro, gaxeta, bocal, AVR, retificador
|
|
Kit de ferramentas com manuais de operação do grupo gerador, motor e alternador
|
Caixa de kit de ferramentas Deluxe com variedades de ferramentas para manutenção
|
4. Critério E Certificado

5. Vantagem do nosso gerador diesel

① Materiais e peças sobressalentes de alto padrão
● De parafusos, rolamentos, esponjas de ruído, fios, absorvedor de vibração, relé, AVR, diodo, medidores, pinheiros, a fio de cobre, chapas de aço, medidores, controladores, bateria, AMF, ATS e assim por diante.
② Equipe de pesquisa e desenvolvimento altamente educada e experiente
● com uma equipe de pesquisa e desenvolvimento altamente profissional, não só pode FMW poder manufactuer padrão gerador de qualidade confiável, mas também poder FMW pode projetar diferentes tipos de gerador, como gerador super silencioso, estação de energia do recipiente, gerador inteligente de acordo com demandas originais do cliente.
③ Desempenho e Critério Confiáveis
Regulação de tensão:
● Faixa de ajuste de tensão de carga livre≥ (95-105)% Un
● Taxa de regulação de tensão em estado estacionário ≤ 1,0 ﹪
● Tr regulação de tensão de estado ansiente ≤ 20 ﹪ / - 15%
● tempo de recuperação de tensão≤1.0 S
● Taxa de flutuação de tensão ≤ ± 0,5 ﹪
● Relação da tensão do estado frio / quente≤2 ﹪
Frequência / velocidade de ondulação:
● Altere a carga de 0 a 100%, a frequência / velocidade de inclinação é de 5%.
● Carga de 25 a 100%, qualquer ondulação de frequência / carga constante em 0,25%
Fator de Efeito de Telecom:
● TIF (MA MG1-22) melhor que 50
● THF (BS EN60034) melhor que 2%
Critério:
● ISO8528, GB / T2820
● EN12601: 2001, EN60034-22: 1997, EN60204-1: 2006
● Sistema de controle de qualidade ISO9001: 2008
● Resistência de isolamento testada de acordo com GB5226.1-2002-19.3
● Tensão suportável testada de acordo com GB7 55-2000-8.1 (com 1500V por 60S)
● Todas as peças elétricas testadas de acordo com GB5226.1-2002-19.6
● Segurança mecânica testada de acordo com GB / T820.8-2002-6.3
● prova de fogo testado de acordo com GB / T2820.8-20 02-6,4 / 6,5
● Todos os grupos geradores são inspecionados estritamente por 25%, 50%, 75%, 100% e 110% de carga.